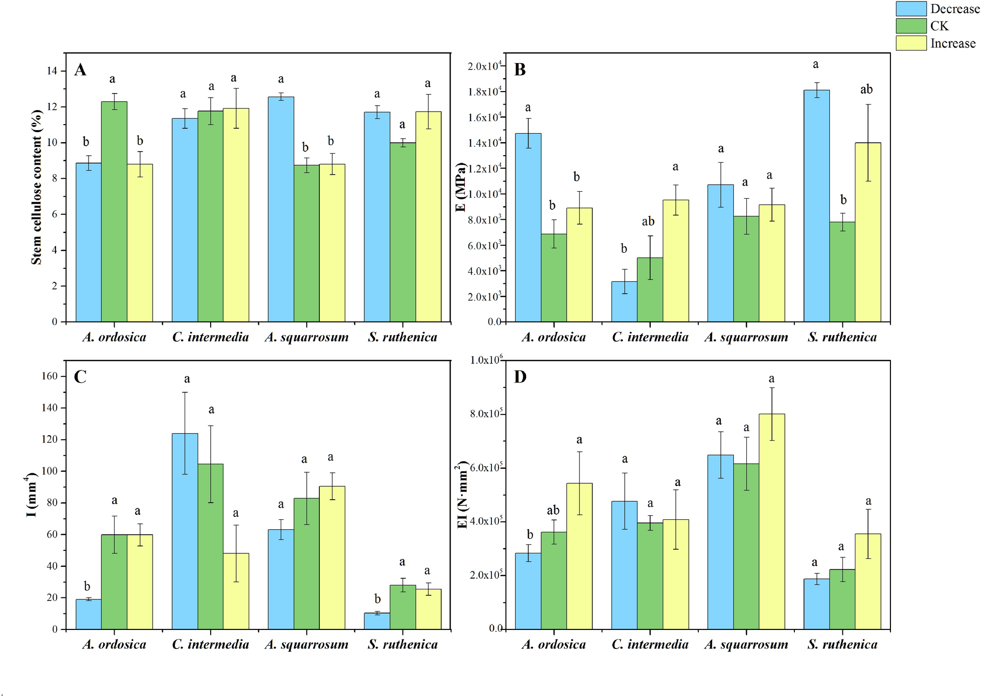
Fig. 5

Shoot property traits linked to wind resistance in four plant species under different wind treatments: a Stem cellulose content, b Young’s modulus (E), c Second moment of area (I), and d Flexural stiffness (EI). Decrease, CK (ambient) and Increase refer to wind velocity treatments. Different lowercase letters indicate significant differences among treatments at p < 0.05. The error bars are plotted by means ± SE